Chất lượng giảng dạy thể hiện thành quả đạt được của người học so với mục tiêu đào tạo; mức độ đáp ứng của người thầy so với các quy định của nhà trường; sự hài lòng từ phía người sử dụng lao động cũng như người học về mô đun/môn học (MĐ/MH) nào đó [1].

Đánh giá chất lượng giảng dạy qua từng mô MĐ/MH với mục đính chính: lượng hóa được giá trị lao động của giảng viên; là cơ sở cho việc bồi dưỡng và nâng cao trình độ của giảng viên theo đặc thù của từng nhà trường; tạo động lực để giảng viên làm tốt hơn nữa và hoàn thiện chính mình [2].
1. Thực trạng về đánh giá chất lượng giảng dạy giảng viên
Việc đánh giá chất lượng giảng viên thường thì các nhà trường thực hiện đánh giá theo tháng, theo kỳ hoặc theo năm. Quá trình đánh giá chú trọng đến thành tích: số giải sinh viên thi olympic, thi tay nghề giỏi, kết quả thi giáo viên dạy giỏi, các loại giấy khen, bằng khen, … tức là, chỉ quan tâm đến thành tích cuối cùng, ít tính đến quá trình thậm chí chỉ tính đến quá trình nếu giảng viên đó vi phạm (vô hình trung dẫn đến bệnh thành tích ngay trong cả đội ngũ giảng viên) và cuối cùng là việc bỏ phiếu với đầy dẫy những cảm tính, trong khi đó mọi đánh giá chất lượng công việc trong bối cảnh hiện nay đang hướng tới việc lượng hóa.
Thực tế cũng cho thấy việc đánh giá chất lượng giảng dạy hiện nay tại các nhà trường còn thiếu khánh quan, chưa thực sự công bằng [3], chủ yếu là định tính, ít được định lượng. Các tiêu chí đánh giá nhiều nhưng chưa khoa học, các nội dung đánh giá chất lượng khá rộng, nhưng không chi tiết, không thiết thực so với công việc chính của giảng viên là giảng dạy. Do vậy, kết quả đánh giá không sát với thức tế nên không gắn vào để định mức giá trị lao động cho giảng viên, cụ thể trên một số phương diện sau:
– Kết quả thi là mức độ đạt được của sinh viên so với mục tiêu của MĐ/MH, nó phản ánh chất lượng giảng dạy của giảng viên thông qua kết quả bài thi của sinh viên. Ở bậc học giáo dục phổ thông, kết quả học tập của học sinh cũng là một trong những căn cứ để đánh giá xếp loại giáo viên cuối năm học. Ở bậc cao đẳng và đại học thì chất lượng trong giảng dạy được phản ánh qua các bài kiểm tra, đặc biệt là bài thi kết thúcMĐ/MH (chiếm tỉ trọng 60% điểm xếp loại của cả MĐ/MH), chưa được áp dụng để đánh giá giảng viên dưới bất cứ một hình thức nào, mặc dù kết quả này cũng là một dạng thang đo và về chất lượng giảng dạy mà giảng viên đạt được.
– Ý kiến phản hồi của sinh viên sau khi kết thúc MĐ/MH phản ánh được mức độ hài lòng của sinh viên đối với hoạt động giảng dạy. Thực tế, đã có một số nhà trường tiến hành lấy ý kiến phản hồi của sinh viên, xong các kết quả thu được cũng chỉ mang tính tham khảo và nhắc nhở giảng viên (nếu để xẩy ra một điều bất thường nào). Một số ý kiến thì cho rằng các kết quả này không phản ánh đúng về giảng viên, vì phần nhiều sinh viên nhận xét là cảm tính [4], nên kết quả không thể mang ra để đánh giá và xếp loại giảng viên được. Trong khi đó, hầu hết các nước có nền giáo dục phát triển trên thế giới như: Mỹ, Anh, Đức, Nhật Bản, Trung Quốc, … họ đều cho rằng “Ý kiến hản hồi của sinh viên” là một phần nội dung quan trọng trong việc đánh giá chất lượng của giảng viên giảng dạy trực tiếp các MĐ/MH.
– Việc thực hiện các nội quy quy định của giảng viên về việc chấp hành các quy đinh của nhà trường, như: hồ sơ giảng dạy (giáo án, sổ lên lớp, …), việc chấp hành giờ giấc ra vào lớp, các quy định về hội họp, báo cáo, … đóng góp một phần lớn để tạo nên chất lượng giảng dạy. Nếu các nội dung này được đánh giá một cách thường xuyên, khách quan, công bằng sẽ đem lại nhiều lợi ích cho sinh viên trong quá trình tham gia học tập. Quan trọng là vậy, nhưng thực tế thì các nhà trường chưa có một công cụ nào để lượng hóa các nội dung đó, chưa có cách nào để quy đổi các nội dung đó về một con số để gắn vào việc đánh giá chất lượng giảng dạy của giảng viên.
– Thực tế cũng cho thấy trong cùng một lớp học, mỗi một giảng viên khác nhau thì số lượng sinh viên tham gia học tập cũng khác nhau rất nhiều. Việc chuyên cần của sinh viên có ảnh hưởng rất lớn đến việc tiếp thu kiến thức, hình hình thái độ và tạo ra năng lực của sinh viên. Nếu giảng viên quản lí sĩ số không tốt, sinh viên nghỉ nhiều dẫn đến không theo kịp chương trình học, từ đó sẽ chán học dần. Đó cũng là nguyên nhân chính mà nhiều sinh viên các trường cao đẳng và đại học bỏ học hiện nay (sắp tới, việc đào tạo thực hiện theo hình thức đơn đặt hàng thì số lượng người học tính đến khi kết thúc khóa học là căn cứ để thanh lí hợp đồng). Do vậy, cũng cần phải gắn trách nhiệm của giảng viên trong công tác duy trì sĩ số của lớp học thông qua một hàm về sĩ số sinh viên theo từng MĐ/MH.
Tất cả các nội dung trên là những thành tố cơ bản, là các tiêu chuẩn cụ thể nhất để đánh giá chất lượng giảng dạy của giảng viên. Vì vậy, cần phải lượng hóa được thông qua một bộ công cụ nào đó để định mức được giá trị và hiệu quả mà giảng viên đem lại.
2. Bộ công cụ đánh giá chất lượng giảng dạy
2.1. Nội dung của bộ công cụ
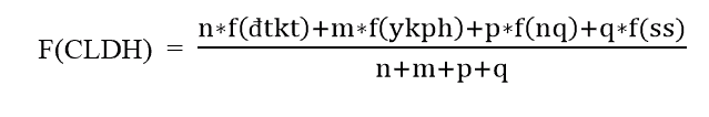
– Bộ công cụ đánh giá chất lượng giảng dạy thông qua hàm chất lượng giảng dạy, ký hiệu là F

Trong đó:
+n, m, p, q: là các hệ số chỉ trọng số của 4 hàm
+ f(đtkt): điểm thi kết thúc MĐ/MH (theo thang điểm 10)
+ f(ykph): ý kiến phản hồi của sinh viên sau khi kết thúc MĐ/MH (thông qua phiếu phản hồi 5 mức)
+ f(nq): việc thực hiện các nội quy các quy định (có quy định về mức điểm trừ đối với từng nội dung của nhà trường, do Hiệu trưởng quy định)
+ f(ss): sĩ số sinh viên tham gia MĐ/MH (tính theo tỷ lệ trung bình dự học)
+ Các hàm F, f(đtkt), f(ykph), f(nq), f(ss) đều trả về giá trị là số, theo thang điểm 100.
– Các hàm f(đtkt), f(ykph), f(nq), f(ss) có thể thay đổi các hệ số để phù hợp với từng nhà trường, từng bối cảnh khác nhau trong đào tạo.
– Các hệ số của hàm F, như: n, m, p, q tùy theo mức độ khác nhau, các trường có thể thay đổi để đạt được các mục tiêu.
2.2. Cách xác định các thông số để tính giá trị cho hàm F
a) Xác định giá trị cho hàm f(đtkt)
Hàm f(đtkt) trả về giá trị từ điểm thi kết thúc MĐ/MH. Điểm thi kết thúc MĐ/MH được tính theo thang điểm 10 và được quy đổi về thang điểm 100 (của một lớp học). Xác định giá trị cho hàm f(đtkt) như sau:
Điểm bài thi kết thúc MĐ/MH trên 9; được tính 100 điểm/01 sinh viên (1)
Điểm bài thi kết thúc MĐ/MH trên 8; được tính 90 điểm/01 sinh viên (2)
Điểm bài thi kết thúc MĐ/MH trên 7; được tính 80 điểm/01 sinh viên (3)
Điểm bài thi kết thúc MĐ/MH trên 6; được tính 70 điểm/01 sinh viên (4)
Điểm bài thi kết thúc MĐ/MH trên 5; được tính 60 điểm/01 sinh viên (5)
Điểm bài thi kết thúc MĐ/MH trên 4; được tính 50 điểm/01 sinh viên (6)
Điểm bài thi kết thúc MĐ/MH trên 3; được tính 40 điểm/01 sinh viên (7)
Điểm bài thi kết thúc MĐ/MH trên 2; được tính 30 điểm/01 sinh viên (8)
Điểm bài thi kết thúc MĐ/MH trên 1; được tính 20 điểm/01 sinh viên (9)
Điểm bài thi kết thúc MĐ/MH nhỏ hơn hoặc bằng 1;được tính 10 điểm/01 sinh viên (10)

b) Xác định giá trị cho hàm f(ykph)
Sau khi kết thúc MĐ/MH, bộ phận độc lập (có thể là Trung tâm khảo thí, Đảm bảo chất lượng, phòng Đào tạo) tiến hành phát phiếu lấy ý kiến phản hồi tới sinh viên hoặc tạo tài khoản trên mạng để sinh viên đăng nhập vào và cung cấp các nhận định về MĐ/MH theo một số tiêu chí về các phương diện sau:
– Phổ biến Mục tiêu môn học
– Thực hiện Chương trình giảng dạy
– Phương pháp giảng dạy: dạy cách học, hiểu bài, …
– Tài liệu học tập: đầy đủ, dễ học, …
– Hoạt động kiểm tra đánh giá: khách quan, công bằng, chính xác, …
Xử lý các số liệu, các phiếu hỏi này bằng phần mềm SPSS và thống kê các số liệu thu thập được. Kết quả xử lý số liệu phản hồi trên xử lý theo giá trị trung bình bởi công thức: “Giá trị khoảng” = (Maximum – Minimum)/n. Vì vậy, với phiếu hỏi nếu thiết kế có 05 mức trả lời thì “Giá trị khoảng cách” = (5-1)/5 = 0,8 nên có 05 mức đánh giá chính và được quy đổi sang thang điểm 100 như sau:
| Mức của nhận định | Loại của nhận định | Điểm tương ứng | Số lượng sinh viên phản hồi (%) | Điểm quy đổi thang 100 |
| (1) | (2) | (3) | (4) | (5) |
| Mức 1 | Yếu | 1,00 – 1,8 | a | 20 |
| Mức 2 | Không đạt | 1,81 – 2,60 | b | 40 |
| Mức 3 | Đạt | 2,61 – 3,40 | c | 60 |
| Mức 4 | Tốt | 3,41 – 4,20 | d | 80 |
| Mức 5 | Rất tốt | 4,21 – 5,00 | e |
100 |
Giải thích
(1) Các mức nhận định của sinh viên;
(2) Tương ứng với mức nhận định phân ra 5 loại nhận định: Yếu (hoàn toàn không đồng ý), Không đạt (không đồng ý); Đạt (bình thường); Tốt (đồng ý); Rất tốt (hoàn toàn đồng ý)
(3) Mỗi một phiếu lấy ý kiến, tiến hành tính trung bình cộng của các nhận định, được kết quả nằm trong khoảng giá trị ở cột (3)
(4) Là số lượng sinh viên có mức nhận định tương ứng với mức điểm ở cột (3), tạm tính là a, b, c, d, e
(5) Điểm quy đổi sang thang 100 của một phiếu nhận định
Hàm f(ykph) được xác định như sau:

c) Xác định giá trị cho hàm f(nq)
Hàm f(nq) đánh giá về việc thực hiện các nội quy quy định, nội quy giảng viên cần thực hiện bào gồm:
– Thực hiện nội quy, quy chế của từng nhà trường, như: giờ giấc lên lớp, trang phục, …
– Thực hiện quy đinh về chuyên môn, như: hồ sơ giảng dạy, tiến độ giảng dạy, quy định về đồ dùng, phương tiện giảng dạy, ..
Các quy định được cụ thể hóa bằng các văn bản, nếu giảng viên vi phạm tính bằng thang điểm trừ. Tức là, lấy 100 trừ đi các lỗi vi phạm, mỗi lỗi vi phạm trừ bao nhiêu điểm tùy thuộc vào từng nhà trường
f(nq)= 100- tổng điểm tương ứng với các lỗi vi phạm
Bảng tham khảo về mức điểm trừ áp dụng cho hàm f(nq)
| Mức điểm trừ | 10 | 20 | 30 | 30 | 50 | 20 | 30 | 30 | 10 | 30 |
|
Nội quy |
Sử dụng điện thoại trong giờ dạy | Không đảm bảo vệ sinh ngăn nắp nơi dạy học | Đến muộn, về sớm trong hoạt động giảng dạy | Vắng mặt ở lớp trong giờ dạy | Bỏ giờ giảng dạy | Sử dụng lãng phí tài sản, vật tư, điện nước | Thiếu tài liệu giảng dạy theo quy định | Ghi chép không đầy đủ vào các sổ theo quy định | Để HSSV ngủ, nằm ra bàn học, làm việc riêng trong giờ học | Để HSSV vi phạm quy chế thi |
Ghi chú
– Mức điểm trừ: Tùy thuộc vào đặc thù của từng nhà trường, Hiệu trưởng quy định mức điểm trừ cho phù hợp
– Nội quy: Hiệu trưởng tổ chức xây dựng và phê duyệt các nội dung về nội quy của nhà trường
- d) Cách xác định giá trị cho hàm f(ss)
Một bộ phận chuyên trách của nhà trường thường xuyên đi lấy sĩ số, đảm rằng mỗi MĐ/MH được lấy sĩ số ít nhất 03 lần, sau đó tính trung bình số lượng sinh viên có mặt ở lớp. Sĩ số trung bình này được quy ra thang điểm 100 theo nguyên tắc tỉ lệ thuận
f(ss)= (100* sĩ số trung bình của 03 lần kiểm tra)/(sĩ số ấn định của lớp)*10
- Định hướng triển khai áp dụng
– Tổ chức xây dựng và đồng thuận các qui tắc xác định các thông số hàm f(đtkt), f(ykph), f(nq), f(ss) phải phù hợp với thực tế từng nhà trường, cập nhật bổ sung các thông số nếu thấy cần thiết. Đặc biệt, không nhất thiết phải áp dụng đồng thời 4 hàm: bước đầu nên áp dụng từng hàm một, sau đó gia tăng số lượng các hàm (các thông số nên tham khảo một số nội dung trong Quy định chuẩn chuyên môn nghiệp vụ của đối với giảng viên).
– Nhà trường có thể giao cho một bộ phận chuyên trách để tổng hợp tất cả các giá trị hàm F của từng MĐ/MH, công việc tổng hợp này nên tin học hóa bằng các phần mềm thống kê để giảm bớt nhân lực và đảm bảo độ chính xác cao cũng như tăng tính công bằng, khách quan.
– Chất lượng giảng dạy của giáo viên theo từng MĐ/MH được quy ra thang điểm 100, đây là cơ sở để tính mức giờ chuẩn (với hệ số tùy vào từng nhà trường) hoặc là cơ sở để tính lương cho giáo viên tỉ lệ thuận với mức điểm của hàm F.
TS Khổng Hữu Lực;PGS.TS. Lê Đức Ngọc; TS. Trần Xuân Ngọc
Hotline: 
